SINH macro

The SINH macro is available only in Unica Campaign.

Syntax

SINH(data [, units_keyword])

Parameters

data

The numerical values to compute the hyperbolic sine of. This can be a constant value, a column, a cell range, or an expression evaluating to any of the above. For the format definition of data, see the "Macro Function Parameters" section in the chapter in this guide for your product.

units_keyword

This optional keyword determines whether the input values and results are interpreted as degrees or radians. Select one of the following:

RADIAN - Performs the calculations in radians (default)

DEGREE - Performs the calculations in degrees

If this parameter is not specified, the default is radians. (To convert from radians to degrees, divide by PI and multiply by 180.)

For more details on using keywords in Unica Campaign, see Format Specifications.

Description

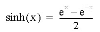
SINH calculates the hyperbolic sine of the values in the specified data range. It returns one new column for each input column, each containing the hyperbolic sine of numbers in the corresponding input column. For x in radians, the hyperbolic sine of a number is:

where e is the natural number, 2.7182818.

Note: If the value x is too large, an overflow error is returned. This occurs if sinh ( x) exceeds the maximum 32-bit floating-point value.

Examples

TEMP = SINH(1) or TEMP = SINH(1, 0) or TEMP = SINH(1, RADIAN)

Creates a new column named TEMP containing the value 1.18.

TEMP = SINH(V1)

Creates a new column named TEMP, where each value is the hyperbolic sine (in radians) of the contents of column V1.

TEMP = SINH(V1:V3, 1) or TEMP = SINH(V1:V3, DEGREE)

Creates three new columns named TEMP, VX, and VY. The values in the TEMP column are the hyperbolic sines of the contents of column V1, the values of the VX column are the hyperbolic sines of the contents of column V2, and the values of the VY column are the hyperbolic sines of the contents of column V3. All values are in degrees.

TEMP = SINH(V1[10:50]:V2)

Creates two new columns named TEMP and VX, each with values in rows 1-41 (the other cells are empty). The values in column TEMP are the hyperbolic sines of the values in rows 10-50 of column V1, and the values in column VX are the hyperbolic sines of the values in rows 10-50 of column V2. All values are in radians.

Related functions

Function Description
COSH Computes the hyperbolic cosine of the contents of the specified data range
SIN Computes the sine of the contents of the specified data range
TANH Computes the hyperbolic tangent of the contents of the specified data range