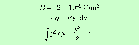
1.8.8 : Une tige non uniformément chargée, prise 2
partie (b)



Retour au menu principal