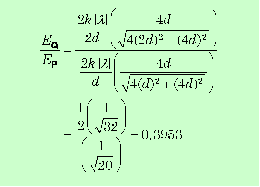
1.8.17 : Deux fois plus loin du centre d'une petite tige
partie (b)



Retour au menu principal