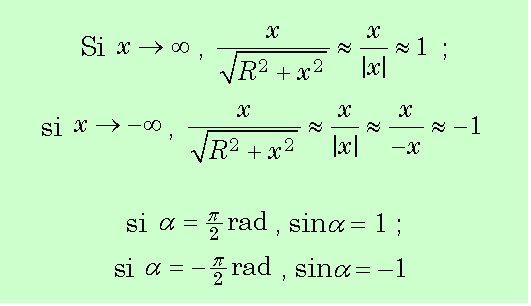
1.16.14 : Le champ électrique d'une TRIUC
partie (a)



Retour au menu principal