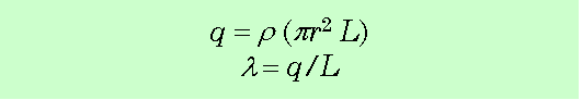
1.11.9 : La densité de charge linéique d'un cylindre uniformément chargé
partie (c)



Retour au menu principal