9.5 Graphing Parabolas

Learning Objectives

  1. Graph a parabola.
  2. Find the intercepts and vertex of a parabola.
  3. Find the vertex of a parabola by completing the square.

The Graph of a Quadratic Equation

We know that any linear equation with two variables can be written in the form y=mx+b and that its graph is a line. In this section, we will see that any quadratic equation of the form y=ax2+bx+c has a curved graph called a parabolaThe graph of any quadratic equation y=ax2+bx+c, where a, b, and c are real numbers and a0..

Two points determine any line. However, since a parabola is curved, we should find more than two points. In this text, we will determine at least five points as a means to produce an acceptable sketch. To begin, we graph our first parabola by plotting points. Given a quadratic equation of the form y=ax2+bx+c, x is the independent variable and y is the dependent variable. Choose some values for x and then determine the corresponding y-values. Then plot the points and sketch the graph.

 

Example 1: Graph by plotting points: y=x22x3.

Solution: In this example, choose the x-values {−2, −1, 0, 1, 2, 3, 4} and calculate the corresponding y-values.

Plot these points and determine the shape of the graph.

Answer:

When graphing, we want to include certain special points in the graph. The y-intercept is the point where the graph intersects the y-axis. The x-intercepts are the points where the graph intersects the x-axis. The vertexThe point that defines the minimum or maximum of a parabola. is the point that defines the minimum or maximum of the graph. Lastly, the line of symmetryThe vertical line through the vertex, x=b2a, about which the parabola is symmetric. (also called the axis of symmetryA term used when referencing the line of symmetry.) is the vertical line through the vertex, about which the parabola is symmetric.

For any parabola, we will find the vertex and y-intercept. In addition, if the x-intercepts exist, then we will want to determine those as well. Guessing at the x-values of these special points is not practical; therefore, we will develop techniques that will facilitate finding them. Many of these techniques will be used extensively as we progress in our study of algebra.

Given a quadratic equation of the form y=ax2+bx+c, find the y-intercept by setting x=0 and solving. In general, y=a(0)2+b(0)+c=c, and we have

Next, recall that the x-intercepts, if they exist, can be found by setting y=0. Doing this, we have 0=a2+bx+c, which has general solutions given by the quadratic formula, x=b±b24ac2a. Therefore, the x-intercepts have this general form:

Using the fact that a parabola is symmetric, we can determine the vertical line of symmetry using the x-intercepts. To do this, we find the x-value midway between the x-intercepts by taking an average as follows:

Therefore, the line of symmetry is the vertical line:

We can use the line of symmetry to find the x-value of the vertex. The steps for graphing a parabola are outlined in the following example.

 

Example 2: Graph: y=x22x+3.

Solution:

Step 1: Determine the y-intercept. To do this, set x = 0 and solve for y.

The y-intercept is (0, 3).

Step 2: Determine the x-intercepts. To do this, set y = 0 and solve for x.

Here when y = 0, we obtain two solutions. There are two x-intercepts, (−3, 0) and (1, 0).

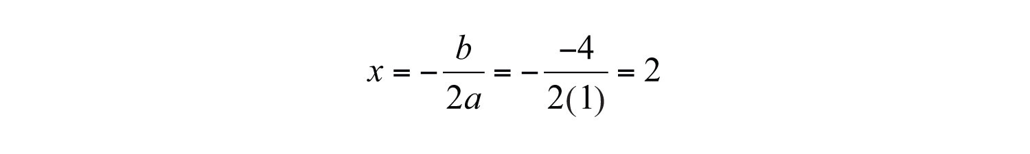
Step 3: Determine the vertex. One way to do this is to use the equation for the line of symmetry, x=b2a, to find the x-value of the vertex. In this example, a = −1 and b = −2:

Substitute −1 into the original equation to find the corresponding y-value.

The vertex is (−1, 4).

Step 4: Determine extra points so that we have at least five points to plot. In this example, one other point will suffice. Choose x = −2 and find the corresponding y-value.

Our fifth point is (−2, 3).

Step 5: Plot the points and sketch the graph. To recap, the points that we have found are

y-intercept: (0, 3)
x-intercept: (−3, 0) and (1, 0)
Vertex: (−1, 4)
Extra point: (−2, 3)

Answer:

The parabola opens downward. In general, use the leading coefficient to determine whether the parabola opens upward or downward. If the leading coefficient is negative, as in the previous example, then the parabola opens downward. If the leading coefficient is positive, then the parabola opens upward.

All quadratic equations of the form y=ax2+bx+c have parabolic graphs with y-intercept (0, c). However, not all parabolas have x intercepts.

 

Example 3: Graph: y=2x2+4x+5.

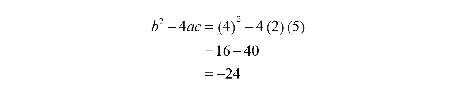
Solution: Because the leading coefficient 2 is positive, note that the parabola opens upward. Here c = 5 and the y-intercept is (0, 5). To find the x-intercepts, set y = 0.

In this case, a = 2, b = 4, and c = 5. Use the discriminant to determine the number and type of solutions.

Since the discriminant is negative, we conclude that there are no real solutions. Because there are no real solutions, there are no x-intercepts. Next, we determine the x-value of the vertex.

Given that the x-value of the vertex is −1, substitute into the original equation to find the corresponding y-value.

The vertex is (−1, 3). So far, we have only two points. To determine three more, choose some x-values on either side of the line of symmetry, x = −1. Here we choose x-values −3, −2, and 1.

To summarize, we have

y-intercept: (0, 5)
x-intercepts: None
Vertex: (−1, 3)
Extra points: (−3, 11), (−2, 5), (1, 11)

Plot the points and sketch the graph.

Answer:

 

Example 4: Graph: y=2x2+12x18.

Solution: Note that a = −2: the parabola opens downward. Since c = −18, the y-intercept is (0, −18). To find the x-intercepts, set y = 0.

Solve by factoring.

Here x = 3 is a double root, so there is only one x-intercept, (3, 0). From the original equation, a = −2, b = 12, and c = −18. The x-value of the vertex can be calculated as follows:

Given that the x-value of the vertex is 3, substitute into the original equation to find the corresponding y-value.

Therefore, the vertex is (3, 0), which happens to be the same point as the x-intercept. So far, we have only two points. To determine three more, choose some x-values on either side of the line of symmetry, x = 3 in this case. Choose x-values 1, 5, and 6.

To summarize, we have

y-intercept: (0, −18)
x-intercept: (3, 0)
Vertex: (3, 0)
Extra points: (1, −8), (5, −8), (6, −18)

Plot the points and sketch the graph.

Answer:

 

Example 5: Graph: y=x22x1.

Solution: Since a = 1, the parabola opens upward. Furthermore, c = −1, so the y-intercept is (0, −1). To find the x-intercepts, set y = 0.

In this case, solve using the quadratic formula with a = 1, b = −2, and c = −1.

Here we obtain two real solutions for x, and thus there are two x-intercepts:

Approximate values using a calculator:

Use the approximate answers to place the ordered pair on the graph. However, we will present the exact x-intercepts on the graph. Next, find the vertex.

Given that the x-value of the vertex is 1, substitute into the original equation to find the corresponding y-value.

The vertex is (1, −2). We need one more point.

To summarize, we have

y-intercept: (0, −1)
x-intercepts: (12, 0) and (1+2, 0)
Vertex: (1, −2)
Extra point: (2, −1)

Plot the points and sketch the graph.

Answer:

 

Try this! Graph: y=9x25.

Answer:

Video Solution

(click to see video)

Finding the Maximum and Minimum

It is often useful to find the maximum and/or minimum values of functions that model real-life applications. To find these important values given a quadratic function, we use the vertex. If the leading coefficient a is positive, then the parabola opens upward and there will be a minimum y-value. If the leading coefficient a is negative, then the parabola opens downward and there will be a maximum y-value.

 

Example 6: Determine the maximum or minimum: y=4x2+24x35.

Solution: Since a = −4, we know that the parabola opens downward and there will be a maximum y-value. To find it, we first find the x-value of the vertex.

The x-value of the vertex is 3. Substitute this value into the original equation to find the corresponding y-value.

The vertex is (3, 1). Therefore, the maximum y-value is 1, which occurs when x = 3, as illustrated below:

Note

The graph is not required to answer this question.

Answer: The maximum is 1.

 

Example 7: Determine the maximum or minimum: y=4x232x+62.

Solution: Since a = +4, the parabola opens upward and there is a minimum y-value. Begin by finding the x-value of the vertex.

Substitute x = 4 into the original equation to find the corresponding y-value.

The vertex is (4, −2). Therefore, the minimum y-value of −2 occurs when x = 4, as illustrated below:

Answer: The minimum is −2.

 

Try this! Determine the maximum or minimum: y=(x3)29.

Answer: The minimum is −9.

Video Solution

(click to see video)

A parabola, opening upward or downward (as opposed to sideways), defines a function and extends indefinitely to the right and left as indicated by the arrows. Therefore, the domain (the set of x-values) consists of all real numbers. However, the range (the set of y-values) is bounded by the y-value of the vertex.

 

Example 8: Determine the domain and range: y=x24x+3.

Solution: First, note that since a=1 is positive, the parabola opens upward. Hence there will be a minimum y-value. To find that value, find the x-value of the vertex:

Then substitute into the equation to find the corresponding y-value.

The vertex is (2, −1). The range consists of the set of y-values greater than or equal to the minimum y-value −1.

Answer: Domain: R = (−∞, ∞); range: [−1, ∞)

 

Example 9: The height in feet of a projectile is given by the function h(t)=16t2+72t, where t represents the time in seconds after launch. What is the maximum height reached by the projectile?

Solution: Here a=16, and the parabola opens downward. Therefore, the y-value of the vertex determines the maximum height. Begin by finding the x-value of the vertex:

The maximum height will occur in 9/4 = 2¼ seconds. Substitute this time into the function to determine the height attained.

Answer: The maximum height of the projectile is 81 feet.

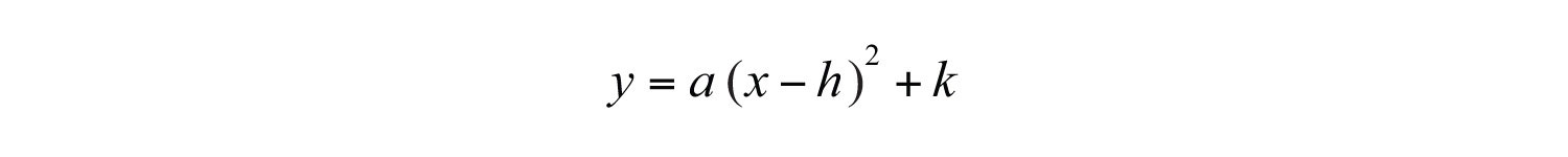
Finding the Vertex by Completing the Square

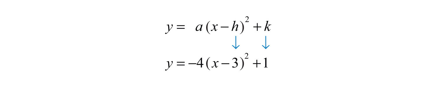
In this section, we demonstrate an alternate approach for finding the vertex. Any quadratic equation y=ax2+bx+c can be rewritten in the form

In this form, the vertex is (hk).

 

Example 10: Determine the vertex: y=4(x3)2+1.

Solution: When the equation is in this form, we can read the vertex directly from the equation.

Here h = 3 and k = 1.

Answer: The vertex is (3, 1).

 

Example 11: Determine the vertex: y=2(x+3)22.

Solution: Rewrite the equation as follows before determining h and k.

Here h = −3 and k = −2.

Answer: The vertex is (−3, −2).

 

Often the equation is not given in this form. To obtain this form, complete the square.

 

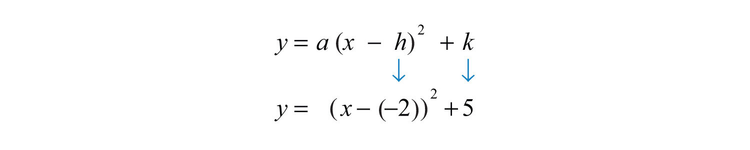
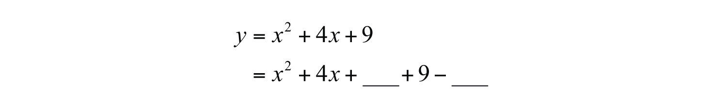
Example 12: Rewrite in y=a(xh)2+k form and determine the vertex: y=x2+4x+9.

Solution: Begin by making room for the constant term that completes the square.

The idea is to add and subtract the value that completes the square, (b2)2, and then factor. In this case, add and subtract (42)2=(2)2=4.

Adding and subtracting the same value within an expression does not change it. Doing so is equivalent to adding 0. Once the equation is in this form, we can easily determine the vertex.

Here h = −2 and k = 5.

Answer: The vertex is (−2, 5).

 

If there is a leading coefficient other than 1, then we must first factor out the leading coefficient from the first two terms of the trinomial.

 

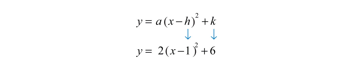
Example 13: Rewrite in y=a(xh)2+k form and determine the vertex: y=2x24x+8.

Solution: Since a = 2, factor this out of the first two terms in order to complete the square. Leave room inside the parentheses to add a constant term.

Now use −2 to determine the value that completes the square. In this case, (22)2=(1)2=1. Add and subtract 1 and factor as follows:

In this form, we can easily determine the vertex.

Here h = 1 and k = 6.

Answer: The vertex is (1, 6).

 

Try this! Rewrite in y=a(xh)2+k form and determine the vertex: y=2x212x+3.

Answer: y=2(x+3)2+21; vertex: (−3, 21)

Video Solution

(click to see video)

Key Takeaways

  • The graph of any quadratic equation y=ax2+bx+c, where a, b, and c are real numbers and a0, is called a parabola.
  • When graphing parabolas, find the vertex and y-intercept. If the x-intercepts exist, find those as well. Also, be sure to find ordered pair solutions on either side of the line of symmetry, x=b2a.
  • Use the leading coefficient, a, to determine if a parabola opens upward or downward. If a is positive, then it opens upward. If a is negative, then it opens downward.
  • The vertex of any parabola has an x-value equal to b2a. After finding the x-value of the vertex, substitute it into the original equation to find the corresponding y-value. This y-value is a maximum if the parabola opens downward, and it is a minimum if the parabola opens upward.
  • The domain of a parabola opening upward or downward consists of all real numbers. The range is bounded by the y-value of the vertex.
  • An alternate approach to finding the vertex is to rewrite the quadratic equation in the form y=a(xh)2+k. When in this form, the vertex is (hk) and can be read directly from the equation. To obtain this form, take y=ax2+bx+c and complete the square.

Topic Exercises

Part A: The Graph of Quadratic Equations

Does the parabola open upward or downward? Explain.

1. y=x29x+20

2. y=x212x+32

3. y=2x2+5x+12

4. y=6x2+13x6

5. y=64x2

6. y=3x+9x2

Determine the x- and y-intercepts.

7. y=x2+4x12

8. y=x213x+12

9. y=2x2+5x3

10. y=3x24x4

11. y=5x23x+2

12. y=6x2+11x4

13. y=4x225

14. y=9x249

15. y=x2x+1

16. y=5x2+15x

Find the vertex and the line of symmetry.

17. y=x2+10x34

18. y=x26x+1

19. y=4x2+12x7

20. y=9x2+6x+2

21. y=4x21

22. y=x216

Graph. Find the vertex and the y-intercept. In addition, find the x-intercepts if they exist.

23. y=x22x8

24. y=x24x5

25. y=x2+4x+12

26. y=x22x+15

27. y=x210x

28. y=x2+8x

29. y=x29

30. y=x225

31. y=1x2

32. y=4x2

33. y=x22x+1

34. y=x2+4x+4

35. y=4x2+12x9

36. y=4x24x+3

37. y=x22

38. y=x23

39. y=4x2+4x3

40. y=4x2+4x+3

41. y=x22x2

42. y=x26x+6

43. y=2x2+6x3

44. y=4x2+4x+1

45. y=x2+3x+4

46. y=x2+3x4

47. y=2x2+3

48. y=2x21

49. y=2x2+4x3

50. y=3x2+2x2

Part B: Maximum or Minimum

Determine the maximum or minimum y-value.

51. y=x26x+1

52. y=x24x+8

53. y=25x210x+5

54. y=16x224x+7

55. y=x2

56. y=19x2

57. y=20x10x2

58. y=12x+4x2

59. y=3x24x2

60. y=6x28x+5

Given the following quadratic functions, determine the domain and range.

61. f(x)=3x2+30x+50

62. f(x)=5x210x+1

63. g(x)=2x2+4x+1

64. g(x)=7x214x9

65. The height in feet reached by a baseball tossed upward at a speed of 48 feet/second from the ground is given by the function h(t)=16t2+48t, where t represents time in seconds. What is the baseball’s maximum height and how long will it take to attain that height?

66. The height of a projectile launched straight up from a mound is given by the function h(t)=16t2+96t+4, where t represents seconds after launch. What is the maximum height?

67. The profit in dollars generated by producing and selling x custom lamps is given by the function P(x)=10x2+800x12,000. What is the maximum profit?

68. The revenue in dollars generated from selling a particular item is modeled by the formula R(x)=100x0.0025x2, where x represents the number of units sold. What number of units must be sold to maximize revenue?

69. The average number of hits to a radio station website is modeled by the formula f(x)=450t23,600t+8,000, where t represents the number of hours since 8:00 a.m. At what hour of the day is the number of hits to the website at a minimum?

70. The value in dollars of a new car is modeled by the formula V(t)=125t23,000t+22,000, where t represents the number of years since it was purchased. Determine the minimum value of the car.

71. The daily production costs in dollars of a textile manufacturing company producing custom uniforms is modeled by the formula C(x)=0.02x220x+10,000, where x represents the number of uniforms produced.

a. How many uniforms should be produced to minimize the daily production costs?

b. What is the minimum daily production cost?

72. The area of a certain rectangular pen is given by the formula A=14ww2, where w represents the width in feet. Determine the width that produces the maximum area.

Part C: Vertex by Completing the Square

Determine the vertex.

73. y=(x5)2+3

74. y=2(x1)2+7

75. y=5(x+1)2+6

76. y=3(x+4)2+10

77. y=5(x+8)21

78. y=(x+2)25

Rewrite in y=a(xh)2+k form and determine the vertex.

79. y=x214x+24

80. y=x212x+40

81. y=x2+4x12

82. y=x2+6x1

83. y=2x212x3

84. y=3x26x+5

85. y=x2+16x+17

86. y=x2+10x

Graph.

87. y=x21

88. y=x2+1

89. y=(x1)2

90. y=(x+1)2

91. y=(x4)29

92. y=(x1)24

93. y=2(x+1)2+8

94. y=3(x+2)2+12

95. y=5(x1)2

96. y=(x+2)2

97. y=4(x1)22

98. y=9(x+1)2+2

99. y=(x+5)215

100. y=2(x5)23

101. y=2(x4)2+22

102. y=2(x+3)213

Part D: Discussion Board

103. Write down your plan for graphing a parabola on an exam. What will you be looking for and how will you present your answer? Share your plan on the discussion board.

104. Why is any parabola that opens upward or downward a function? Explain to a classmate how to determine the domain and range.

Answers

1: Upward

3: Downward

5: Downward

7: x-intercepts: (−6, 0), (2, 0); y-intercept: (0, −12)

9: x-intercepts: (−3, 0), (1/2, 0); y-intercept: (0, −3)

11: x-intercepts: (−1, 0), (2/5, 0); y-intercept: (0, 2)

13: x-intercepts: (−5/2, 0), (5/2, 0); y-intercept: (0, −25)

15: x-intercepts: none; y-intercept: (0, 1)

17: Vertex: (5, −9); line of symmetry: x=5

19: Vertex: (3/2, 2); line of symmetry: x=3/2

21: Vertex: (0, −1); line of symmetry: x=0

23:

25:

27:

29:

31:

33:

35:

37:

39:

41:

43:

45:

47:

49:

51: Maximum: y = 10

53: Minimum: y = 4

55: Maximum: y = 0

57: Maximum: y = 10

59: Minimum: y = −10/3

61: Domain: R; range: [25,)

63: Domain: R; range: (,3]

65: The maximum height of 36 feet occurs after 1.5 seconds.

67: $4,000

69: 12:00 p.m.

71: a. 500 uniforms; b. $5,000

73: (5, 3)

75: (−1, 6)

77: (−8, −1)

79: y=(x7)225; vertex: (7, −25)

81: y=(x+2)216; vertex: (−2, −16)

83: y=2(x3)221; vertex: (3, −21)

85: y=(x8)2+81; vertex: (8, 81)

87:

89:

91:

93:

95:

97:

99:

101: