8.4 Multiplying and Dividing Radical Expressions

Learning Objectives

  1. Multiply radical expressions.
  2. Divide radical expressions.
  3. Rationalize the denominator.

Multiplying Radical Expressions

When multiplying radical expressions with the same index, we use the product rule for radicals. If a and b represent positive real numbers,

 

Example 1: Multiply: 26.

Solution: This problem is a product of two square roots. Apply the product rule for radicals and then simplify.

Answer: 23

 

Example 2: Multiply: 9363.

Solution: This problem is a product of cube roots. Apply the product rule for radicals and then simplify.

Answer: 323

 

Often there will be coefficients in front of the radicals.

 

Example 3: Multiply: 2352.

Solution: Using the product rule for radicals and the fact that multiplication is commutative, we can multiply the coefficients and the radicands as follows.

Typically, the first step involving the application of the commutative property is not shown.

Answer: 106

 

Example 4: Multiply: 25x3325x23.

Solution:

Answer: 30x

 

Use the distributive property when multiplying rational expressions with more than one term.

 

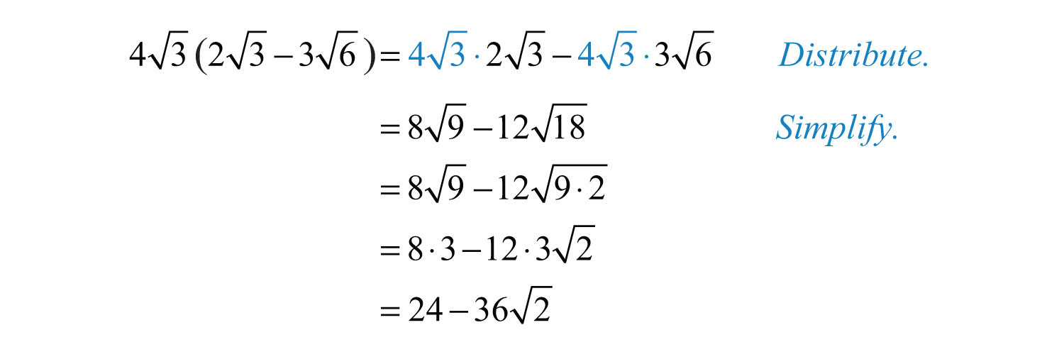
Example 5: Multiply: 43(2336).

Solution: Apply the distributive property and multiply each term by 43.

Answer: 24362

 

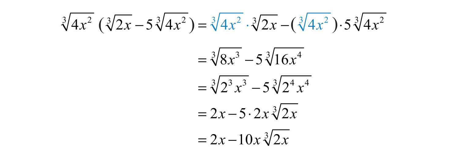
Example 6: Multiply: 4x23(2x354x23).

Solution: Apply the distributive property and then simplify the result.

Answer: 2x10x2x3

 

The process for multiplying radical expressions with multiple terms is the same process used when multiplying polynomials. Apply the distributive property, simplify each radical, and then combine like terms.

 

Example 7: Multiply: (5+2)(54).

Solution: Begin by applying the distributive property.

Answer: 325

 

Example 8: Multiply: (3xy)2.

Solution:

Answer: 9x6xy+y

 

Try this! Multiply: (23+52)(326).

Answer: 6122+56203

Video Solution

(click to see video)

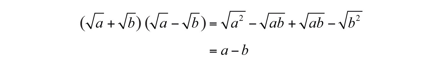
The expressions (a+b) and (ab) are called conjugatesThe factors (a+b) and (ab) are conjugates.. When multiplying conjugates, the sum of the products of the inner and outer terms results in 0.

 

Example 9: Multiply: (2+5)(25).

Solution: Apply the distributive property and then combine like terms.

Answer: −3

 

It is important to note that when multiplying conjugate radical expressions, we obtain a rational expression. This is true in general and is often used in our study of algebra.

Therefore, for nonnegative real numbers a and b, we have the following property:

Dividing Radical Expressions (Rationalizing the Denominator)

To divide radical expressions with the same index, we use the quotient rule for radicals. If a and b represent nonnegative numbers, where b0, then we have

 

Example 10: Divide: 8010.

Solution: In this case, we can see that 10 and 80 have common factors. If we apply the quotient rule for radicals and write it as a single square root, we will be able to reduce the fractional radicand.

Answer: 22

 

Example 11: Divide: 16x5y42xy.

Solution:

Answer: 2x2y2y

 

Example 12: Divide: 54a3b5316a2b23.

Solution:

Answer: 3ba32

 

When the divisor of a radical expression contains a radical, it is a common practice to find an equivalent expression where the denominator is a rational number. Finding such an equivalent expression is called rationalizing the denominatorThe process of determining an equivalent radical expression with a rational denominator..

To do this, multiply the fraction by a special form of 1 so that the radicand in the denominator can be written with a power that matches the index. After doing this, simplify and eliminate the radical in the denominator. For example,

Remember, to obtain an equivalent expression, you must multiply the numerator and denominator by the exact same nonzero factor.

 

Example 13: Rationalize the denominator: 32.

Solution: The goal is to find an equivalent expression without a radical in the denominator. In this example, multiply by 1 in the form 22.

Answer: 62

 

Example 14: Rationalize the denominator: 123x.

Solution: The radicand in the denominator determines the factors that you need to use to rationalize it. In this example, multiply by 1 in the form 3x3x.

Answer: 3x6x

 

Typically, we will find the need to reduce, or cancel, after rationalizing the denominator.

 

Example 15: Rationalize the denominator: 525ab.

Solution: In this example, we will multiply by 1 in the form 5ab5ab.

Notice that a and b do not cancel in this example. Do not cancel factors inside a radical with those that are outside.

Answer: 10abab

 

Try this! Rationalize the denominator: 4a3b.

Answer: 23ab3b

Video Solution

(click to see video)

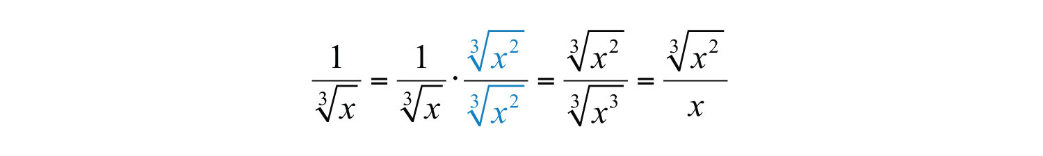
Up to this point, we have seen that multiplying a numerator and a denominator by a square root with the exact same radicand results in a rational denominator. In general, this is true only when the denominator contains a square root. However, this is not the case for a cube root. For example,

Note that multiplying by the same factor in the denominator does not rationalize it. In this case, if we multiply by 1 in the form of x23x23, then we can write the radicand in the denominator as a power of 3. Simplifying the result then yields a rationalized denominator. For example,

Therefore, to rationalize the denominator of radical expressions with one radical term in the denominator, begin by factoring the radicand of the denominator. The factors of this radicand and the index determine what we should multiply by. Multiply numerator and denominator by the nth root of factors that produce nth powers of all the factors in the radicand of the denominator.

 

Example 16: Rationalize the denominator: 1253.

Solution: The radical in the denominator is equivalent to 523. To rationalize the denominator, it should be 533. To obtain this, we need one more factor of 5. Therefore, multiply by 1 in the form of 5353.

Answer: 535

 

Example 17: Rationalize the denominator: 27a2b23.

Solution: In this example, we will multiply by 1 in the form 22b322b3.

Answer: 34ab32b

 

Example 18: Rationalize the denominator: 14x35.

Solution: In this example, we will multiply by 1 in the form 23x2523x25.

Answer: 8x252x

 

When two terms involving square roots appear in the denominator, we can rationalize it using a very special technique. This technique involves multiplying the numerator and the denominator of the fraction by the conjugate of the denominator. Recall that multiplying a radical expression by its conjugate produces a rational number.

 

Example 19: Rationalize the denominator: 132.

Solution: In this example, the conjugate of the denominator is 3+2. Therefore, multiply by 1 in the form (3+2)(3+2).

Answer: 3+2

 

Notice that the terms involving the square root in the denominator are eliminated by multiplying by the conjugate. We can use the property (a+b)(ab)=ab to expedite the process of multiplying the expressions in the denominator.

 

Example 20: Rationalize the denominator: 262+6.

Solution: Multiply by 1 in the form 2626.

Answer: 2+3

 

Example 21: Rationalize the denominator: x+yxy.

Solution: In this example, we will multiply by 1 in the form xyxy.

Answer: x2xy+yxy

 

Try this! Rationalize the denominator: 35+5253.

Answer: 195+4511

Video Solution

(click to see video)

Key Takeaways

  • To multiply two single-term radical expressions, multiply the coefficients and multiply the radicands. If possible, simplify the result.
  • Apply the distributive property when multiplying radical expressions with multiple terms. Then simplify and combine all like radicals.
  • Multiplying a two-term radical expression involving square roots by its conjugate results in a rational expression.
  • It is common practice to write radical expressions without radicals in the denominator. The process of finding such an equivalent expression is called rationalizing the denominator.
  • If an expression has one term in the denominator involving a radical, then rationalize it by multiplying numerator and denominator by the nth root of factors of the radicand so that their powers equal the index.
  • If a radical expression has two terms in the denominator involving square roots, then rationalize it by multiplying the numerator and denominator by its conjugate.

Topic Exercises

Part A: Multiplying Radical Expressions

Multiply. (Assume all variables are nonnegative.)

1. 35

2. 73

3. 26

4. 515

5. 77

6. 1212

7. 25710

8. 31526

9. (25)2

10. (62)2

11. 2x2x

12. 5y5y

13. 3a12

14. 3a2a

15. 42x36x

16. 510y22y

17. 53253

18. 4323

19. 43103

20. 18363

21. (593)(263)

22. (243)(343)

23. (223)3

24. (343)3

25. 3a239a3

26. 7b349b23

27. 6x234x23

28. 12y39y23

29. 20x2y310x2y23

30. 63xy312x4y23

31. 5(35)

32. 2(32)

33. 37(273)

34. 25(6310)

35. 6(32)

36. 15(5+3)

37. x(x+xy)

38. y(xy+y)

39. 2ab(14a210b)

40. 6ab(52a3b)

41. (25)(3+7)

42. (3+2)(57)

43. (234)(36+1)

44. (526)(723)

45. (53)2

46. (72)2

47. (23+2)(232)

48. (2+37)(237)

49. (a2b)2

50. (ab+1)2

51. What are the perimeter and area of a rectangle with length of 53 centimeters and width of 32 centimeters?

52. What are the perimeter and area of a rectangle with length of 26 centimeters and width of 3 centimeters?

53. If the base of a triangle measures 62 meters and the height measures 32 meters, then what is the area?

54. If the base of a triangle measures 63 meters and the height measures 36 meters, then what is the area?

Part B: Dividing Radical Expressions

Divide.

55. 753

56. 36010

57. 7275

58. 9098

59. 90x52x

60. 96y33y

61. 162x7y52xy

62. 363x4y93xy

63. 16a5b232a2b23

64. 192a2b732a2b23

Rationalize the denominator.

65. 15

66. 16

67. 23

68. 37

69. 5210

70. 356

71. 353

72. 622

73. 17x

74. 13y

75. a5ab

76. 3b223ab

77. 2363

78. 1473

79. 14x3

80. 13y23

81. 9x239xy23

82. 5y2x35x2y3

83. 3a23a2b23

84. 25n325m2n3

85. 327x2y5

86. 216xy25

87. ab9a3b5

88. abcab2c35

89. 3103

90. 262

91. 15+3

92. 172

93. 33+6

94. 55+15

95. 10535

96. 22432

97. 3+535

98. 10210+2

99. 233243+2

100. 65+2252

101. x+yxy

102. xyx+y

103. aba+b

104. ab+2ab2

105. x52x

106. 1xy

Part C: Discussion

107. Research and discuss some of the reasons why it is a common practice to rationalize the denominator.

108. Explain in your own words how to rationalize the denominator.

Answers

1: 15

3: 23

5: 7

7: 702

9: 20

11: 2x

13: 6a

15: 24x3

17: 5

19: 253

21: 3023

23: 16

25: 3a

27: 2x3x3

29: 2xy25x3

31: 355

33: 42321

35: 3223

37: x+xy

39: 2a7b4b5a

41: 6+141535

43: 182+231264

45: 8215

47: 10

49: a22ab+2b

51: Perimeter: (103+62) centimeters; area: 156 square centimeters

53: 18 square meters

55: 5

57: 265

59: 3x25

61: 9x3y2

63: 2a

65: 55

67: 63

69: 104

71: 3153

73: 7x7x

75: ab5b

77: 633

79: 2x232x

81: 36x2y3y

83: 9ab32b

85: 9x3y45xy

87: 27a2b453

89: 310+9

91: 532

93: 1+2

95: 5352

97: 415

99: 157623

101: x2+2xy+yx2y

103: a2ab+bab

105: 5x+2x254x