6.5 General Guidelines for Factoring Polynomials

Learning Objective

  1. Develop a general strategy for factoring polynomials.

General Factoring Strategy

We have learned various techniques for factoring polynomials with up to four terms. The challenge is to identify the type of polynomial and then decide which method to apply. The following outlines a general guideline for factoring polynomials:

  1. Check for common factors. If the terms have common factors, then factor out the greatest common factor (GCF) and look at the resulting polynomial factors to factor further.
  2. Determine the number of terms in the polynomial.

    a. Factor four-term polynomials by grouping.

    b. Factor trinomials (three terms) using “trial and error” or the AC method.

    c. Factor binomials (two terms) using the following special products:

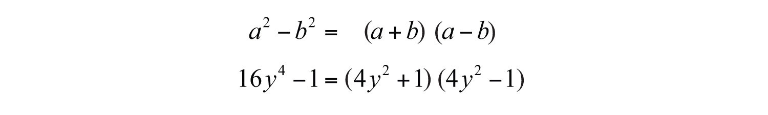
    Difference of squares: a2b2=(a+b)(ab)
    Sum of squares: a2+b2   no general formula
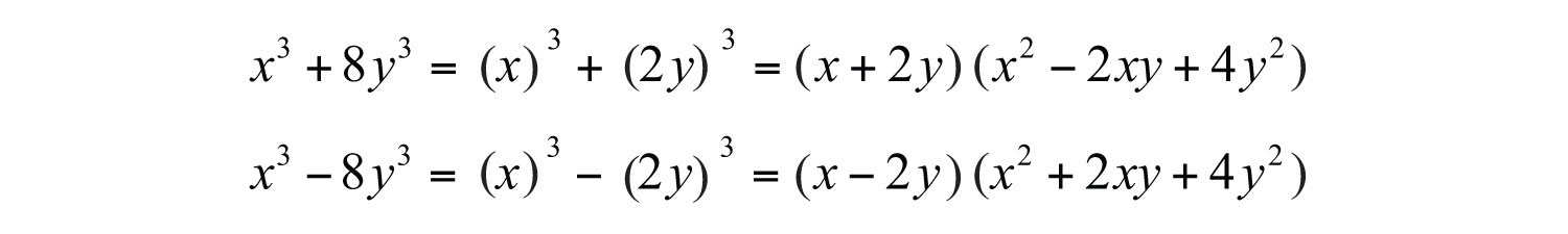
    Difference of cubes: a3b3=(ab)(a2+ab+b2)
    Sum of cubes: a3+b3=(a+b)(a2ab+b2)
  3. Look for factors that can be factored further.
  4. Check by multiplying.

Note

  • If a binomial is both a difference of squares and a difference of cubes, then first factor it as difference of squares and then as a sum and difference of cubes to obtain a more complete factorization.
  • Not all polynomials with integer coefficients factor. When this is the case, we say that the polynomial is prime.

If an expression has a GCF, then factor this out first. Doing so is often overlooked and typically results in factors that are easier to work with. Also, look for the resulting factors to factor further; many factoring problems require more than one step. A polynomial is completely factored when none of the factors can be factored further.

 

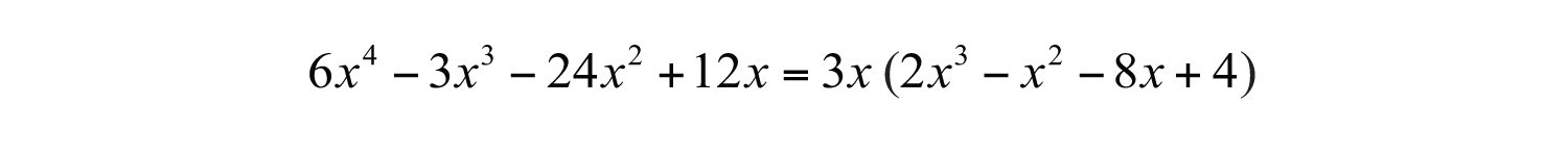
Example 1: Factor: 6x43x324x2+12x.

Solution: This four-term polynomial has a GCF of 3x. Factor this out first.

Now factor the resulting four-term polynomial by grouping.

The factor (x24) is a difference of squares and can be factored further.

Answer: 3x(2x1)(x+2)(x2)

 

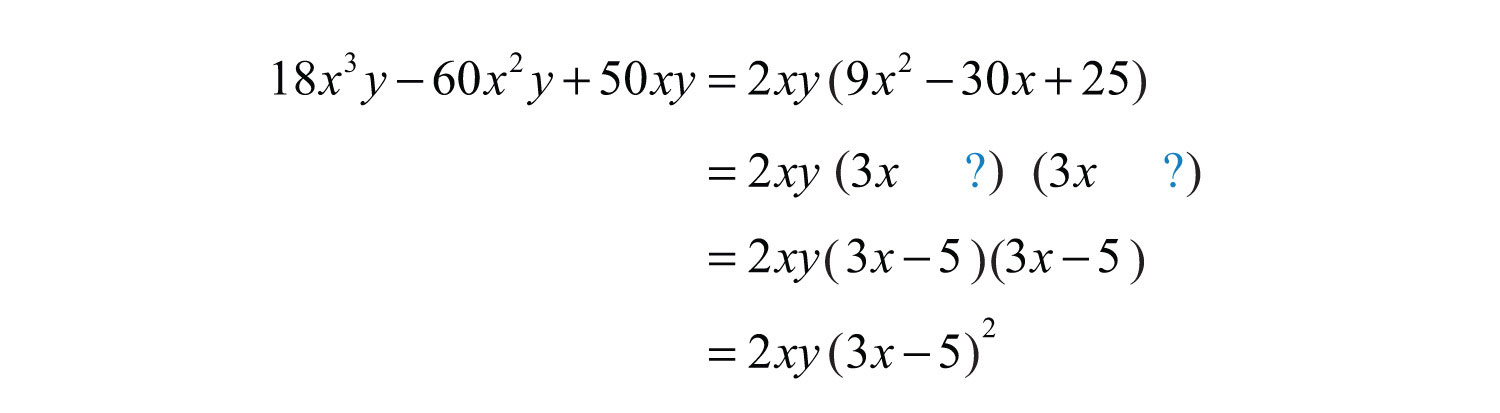
Example 2: Factor: 18x3y60x2y+50xy.

Solution: This trinomial has a GCF of 2xy. Factor this out first.

The trinomial factor can be factored further using the trial and error method. Use the factors 9=33 and 25=(5)(5). These combine to generate the correct coefficient for the middle term: 3(5)+3(5)=1515=30.

Check.

Answer: 2xy(3x5)2

 

Example 3: Factor: 5a3b4+10a2b375ab2.

Solution: This trinomial has a GCF of 5ab2. Factor this out first.

The resulting trinomial factor can be factored as follows:

Answer: 5ab2(ab+5)(ab3)

 

Try this! Factor: 3x3y12x2y2+12xy3.

Answer: 3xy(x2y)2

Video Solution

(click to see video)

 

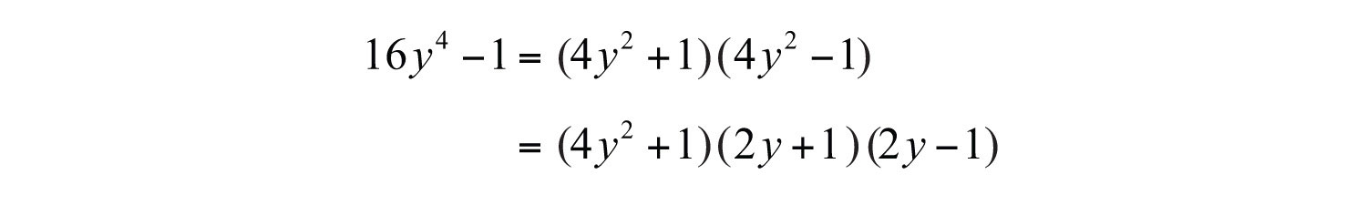
Example 4: Factor: 16y41.

Solution: This binomial does not have a GCF. Therefore, begin factoring by identifying it as a difference of squares.

Here a=4y2 and b = 1. Substitute into the formula for difference of squares.

The factor (4y2+1) is a sum of squares and is prime. However, (4y21) is a difference of squares and can be factored further.

Answer: (4y2+1)(2y+1)(2y1)

 

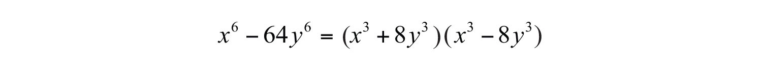
Example 5: Factor: x664y6.

Solution: This binomial is a difference of squares and a difference of cubes. When this is the case, first factor it as a difference of squares.

We can write

Each factor can be further factored either as a sum or difference of cubes, respectively.

Therefore,

Answer: (x+2y)(x22xy+4y2)(x2y)(x2+2xy+4y2)

 

Example 6: Factor: x2(2x1)2.

Solution: First, identify this expression as a difference of squares.

Here use a=x and b=2x1 in the formula for a difference of squares.

Answer: (3x1)(x+1)

 

Try this! Factor: x4+2x3+27x+54.

Answer: (x+2)(x+3)(x23x+9)

Video Solution

(click to see video)

Key Takeaways

  • Use the polynomial type to determine the method used to factor it.
  • It is a best practice to look for and factor out the greatest common factor (GCF) first. This will facilitate further factoring and simplify the process. Be sure to include the GCF as a factor in the final answer.
  • Look for resulting factors to factor further. It is often the case that factoring requires more than one step.
  • If a binomial can be considered as both a difference of squares and a difference of cubes, then first factor it as a difference of squares. This results in a more complete factorization.

Topic Exercises

Part A: Mixed Factoring

Factor completely.

1. 2x5y212x4y3

2. 18x5y36x4y5

3. 5x2+20x25

4. 4x2+10x6

5. 24x330x29x

6. 30x365x2+10x

7. 6x3+27x29x

8. 21x3+49x228x

9. 5x330x215x+90

10. 6x4+24x32x28x

11. x46x3+8x48

12. x45x3+27x135

13. 4x34x29x+9

14. 50x3+25x232x16

15. 2x3+250

16. 3x581x2

17. 2x5162x3

18. 4x436

19. x4+16

20. x3+9

21. 722x2

22. 5x425x2

23. 7x314x

24. 36x212x+1

25. 25x2+10x+1

26. 250x3+200x4+40x5

27. 7x2+19x+6

28. 8x4+40x350x2

29. a416

30. 16a481b4

31. y5+y4y1

32. 4y5+2y44y22y

33. 3x8192x2

34. 4x7+4x

35. 4x219xy+12y2

36. 16x266xy27y2

37. 5x53x45x3+3x2

38. 4a2b24a29b2+9

39. 15a24ab4b2

40. 6a225ab+4b2

41. 6x2+5xy+6y2

42. 9x2+5xy12y2

43. (3x1)264

44. (x5)2(x2)2

45. (x+1)3+8

46. (x4)327

47. (2x1)2(2x1)12

48. (x4)2+5(x4)+6

49. a3b10a2b2+25ab3

50. 2a3b212a2b+18a

51. 15a2b257ab12

52. 60x3+4x2+24x

53. 24x5+78x354x

54. 9y613y4+4y2

55. 3615a6a2

56. 60ab2+5a2b25a3b2

57. x41

58. 16x464

59. x81

60. 81x81

61. x161

62. x121

63. 54x6216x42x3+8x

64. 4a44a2b2a2+b2

65. 32y3+32y218y18

66. 3a3+a2b12ab4b2

67. 18m221mn9n2

68. 5m2n2+10mn15

69. The volume of a certain rectangular solid is given by the function V(x)=x32x23x. Write the function in its factored form.

70. The volume of a certain right circular cylinder is given by the function V(x)=4πx34πx2+πx. Write the function in its factored form.

Part B: Discussion Board

71. First, factor the trinomial 24x228x40. Then factor out the GCF. Discuss the significance of factoring out the GCF first. Do you obtain the same result?

72. Discuss a plan for factoring polynomial expressions on an exam. What should you be looking for and what should you be expecting?

Answers

1: 2x4y2(x6y)

3: 5(x1)(x+5)

5: 3x(2x3)(4x+1)

7: 3x(2x2+9x3)

9: 5(x6)(x23)

11: (x6)(x+2)(x22x+4)

13: (x1)(2x3)(2x+3)

15: 2(x+5)(x25x+25)

17: 2x3(x+9)(x9)

19: Prime

21: 2(6+x)(6x)

23: 7x(x22)

25: (5x+1)2

27: (x3)(7x+2)

29: (a2+4)(a+2)(a2)

31: (y2+1)(y1)(y+1)2

33: 3x2(x+2)(x22x+4)(x2)(x2+2x+4)

35: (x4y)(4x3y)

37: x2(5x3)(x+1)(x1)

39: (3a2b)(5a+2b)

41: Prime

43: 3(x3)(3x+7)

45: (x+3)(x2+3)

47: 2(x+1)(2x5)

49: ab(a5b)2

51: 3(ab4)(5ab+1)

53: 6x(x+1)(x1)(2x+3)(2x3)

55: 3(a+4)(2a3)

57: (x2+1)(x+1)(x1)

59: (x4+1)(x2+1)(x+1)(x1)

61: (x8+1)(x4+1)(x2+1)(x+1)(x1)

63: 2x(x+2)(x2)(3x1)(9x2+3x+1)

65: 2(y+1)(4y3)(4y+3)

67: 3(2m3n)(3m+n)

69: V(x)=x(x+1)(x3)