5.5 Dividing Polynomials

Learning Objectives

  1. Divide by a monomial.
  2. Divide by a polynomial using the division algorithm.
  3. Divide polynomial functions.

Dividing by a Monomial

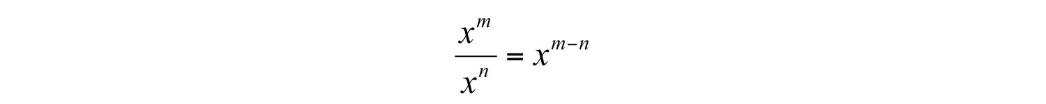
Recall the quotient rule for exponents: if x is nonzero and m and n are positive integers, then

In other words, when dividing two expressions with the same base, subtract the exponents. This rule applies when dividing a monomial by a monomial. In this section, we will assume that all variables in the denominator are nonzero.

 

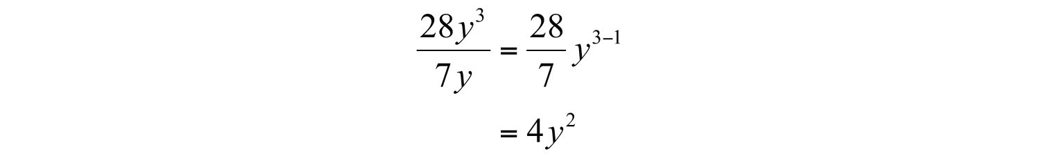
Example 1: Divide: 28y37y.

Solution: Divide the coefficients and subtract the exponents of the variable y.

Answer: 4y2

 

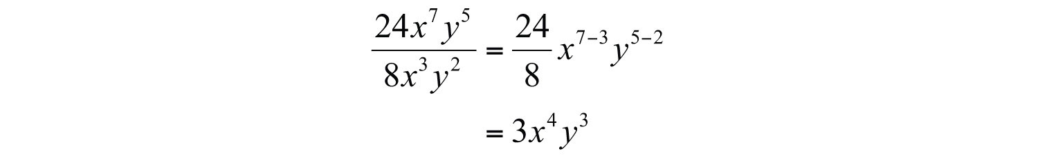
Example 2: Divide: 24x7y58x3y2.

Solution: Divide the coefficients and apply the quotient rule by subtracting the exponents of the like bases.

Answer: 3x4y3

 

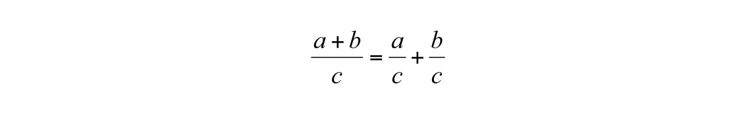
When dividing a polynomial by a monomial, we may treat the monomial as a common denominator and break up the fraction using the following property:

Applying this property results in terms that can be treated as quotients of monomials.

 

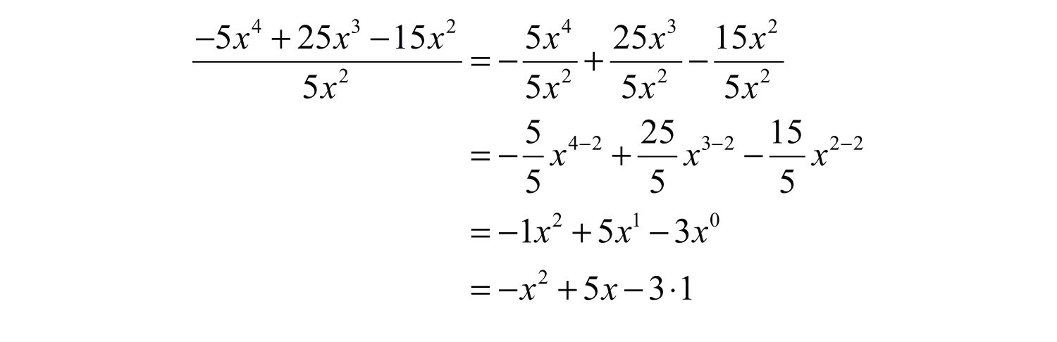
Example 3: Divide: 5x4+25x315x25x2.

Solution: Break up the fraction by dividing each term in the numerator by the monomial in the denominator and then simplify each term.

Answer: x2+5x3

 

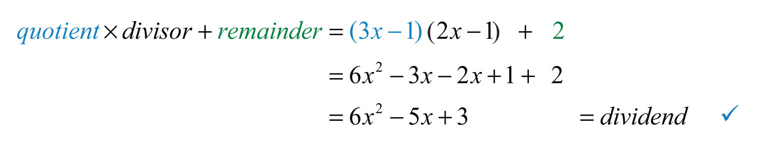
Check your division by multiplying the answer, the quotientThe result after dividing., by the monomial in the denominator, the divisorThe denominator of a quotient., to see if you obtain the original numerator, the dividendThe numerator of a quotient..

 

Example 4: Divide: 9a4b7a3b2+3a2b3a2b.

Solution:

Answer: 3a2+73ab1. The check is optional and is left to the reader.

 

Try this! Divide: (16x58x4+5x3+2x2)÷(2x2).

Answer: 8x34x2+52x+1

Video Solution

(click to see video)

Dividing by a Polynomial

The same technique outlined for dividing by a monomial does not work for polynomials with two or more terms in the denominator. In this section, we will outline a process called polynomial long divisionThe process of dividing two polynomials using the division algorithm., which is based on the division algorithm for real numbers. For the sake of clarity, we will assume that all expressions in the denominator are nonzero.

 

Example 5: Divide: x3+3x28x4x2.

Solution: Here x2 is the divisor and x3+3x28x4 is the dividend.

Step 1: To determine the first term of the quotient, divide the leading term of the dividend by the leading term of the divisor.

Step 2: Multiply the first term of the quotient by the divisor, remembering to distribute, and line up like terms with the dividend.

Step 3: Subtract the resulting quantity from the dividend. Take care to subtract both terms.

Step 4: Bring down the remaining terms and repeat the process from step 1.

Notice that the leading term is eliminated and that the result has a degree that is one less than the dividend. The complete process is illustrated below:

Polynomial long division ends when the degree of the remainderThe expression that is left after the division algorithm ends. is less than the degree of the divisor. Here the remainder is 0. Therefore, the binomial divides the polynomial evenly and the answer is the quotient shown above the division line.

To check the answer, multiply the divisor by the quotient to see if you obtain the dividend:

Answer: x2+5x+2

 

Next, we demonstrate the case where there is a nonzero remainder.

Just as with real numbers, the final answer adds the fraction where the remainder is the numerator and the divisor is the denominator to the quotient. In general, when dividing we have

If we multiply both sides by the divisor we obtain

 

Example 6: Divide: 6x25x+32x1.

Solution: Since the denominator is a binomial, begin by setting up polynomial long division.

To start, determine what monomial times 2x1 results in a leading term 6x2. This is the quotient of the given leading terms: (6x2)÷(2x)=3x. Multiply 3x times the divisor 2x1 and line up the result with like terms of the dividend.

Subtract the result from the dividend and bring down the constant term +3.

Subtracting eliminates the leading term and 5x(3x)=5x+3x=2x. The quotient of 2x and 2x is −1. Multiply 2x1 by −1 and line up the result.

Subtract again and notice that we are left with a remainder.

The constant term 2 has degree 0, and thus the division ends. We may write

Answer: 3x1+22x1. To check that this result is correct, we multiply as follows:

 

Occasionally, some of the powers of the variables appear to be missing within a polynomial. This can lead to errors when lining up like terms. Therefore, when first learning how to divide polynomials using long division, fill in the missing terms with zero coefficients, called placeholdersTerms with zero coefficients used to fill in all missing exponents within a polynomial..

 

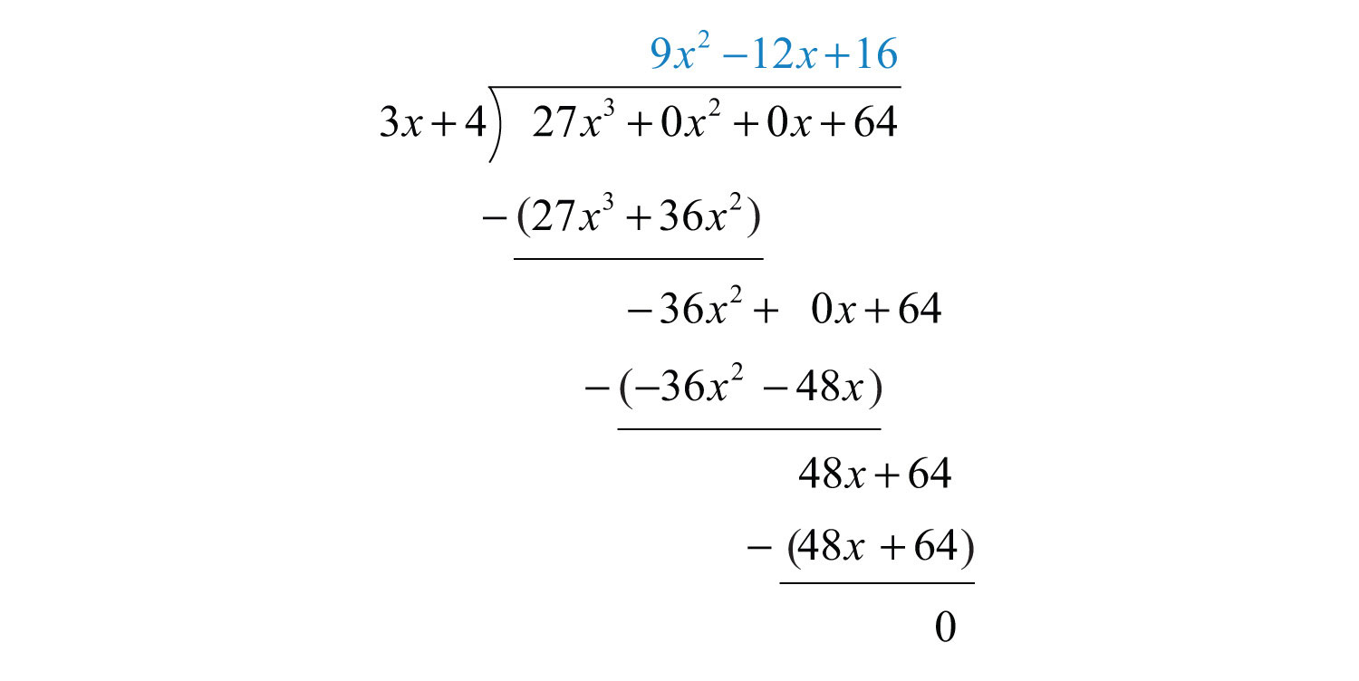
Example 7: Divide: 27x3+643x+4.

Solution: Notice that the binomial in the numerator does not have terms with degree 2 or 1. The division is simplified if we rewrite the expression with placeholders:

Set up polynomial long division:

We begin with 27x3÷3x=9x2 and work the rest of the division algorithm.

Answer: 9x212x+16

 

Example 8: Divide: 3x42x3+6x2+23x7x22x+5.

Solution:

Begin the process by dividing the leading terms to determine the leading term of the quotient 3x4÷x2=3x2. Take care to distribute and line up the like terms. Continue the process until the remainder has a degree less than 2.

The remainder is x2. Write the answer with the remainder:

Answer: 3x2+4x1+x2x22x+5

 

Polynomial long division takes time and practice to master. Work lots of problems and remember that you may check your answers by multiplying the quotient by the divisor (and adding the remainder if present) to obtain the dividend.

 

Try this! Divide: 20x432x3+7x2+8x10 5x3.

Answer: 4x34x2x+175x3

Video Solution

(click to see video)

Dividing Polynomial Functions

We may use function notation to indicate division as follows:

Division of functions: (f/g)(x)=f(x)g(x)

The quotient of two polynomial functions does not necessarily have a domain of all real numbers. The values for x that make the function in the denominator 0 are restricted from the domain. This will be discussed in more detail at a later time. For now, assume all functions in the denominator are nonzero.

 

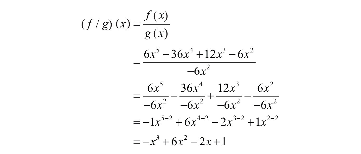
Example 9: Calculate: (f/g)(x) given f(x)=6x536x4+12x36x2 and g(x)=6x2.

Solution: The notation indicates that we should divide:

Answer: (f/g)(x)=x3+6x22x+1

 

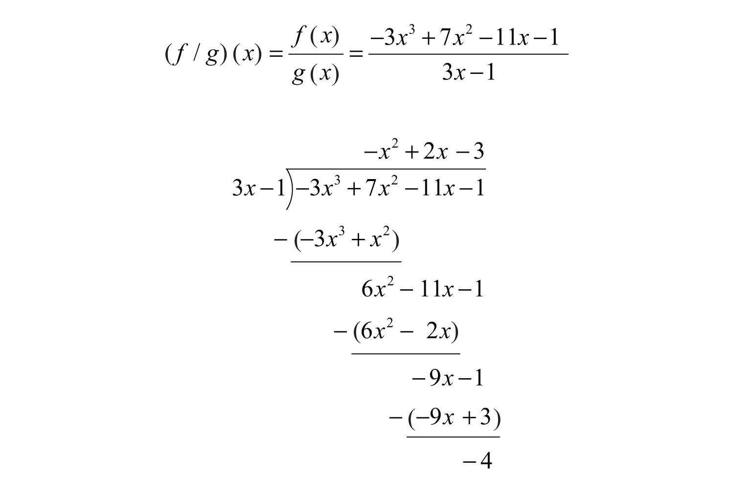
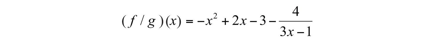
Example 10: Calculate: (f/g)(1), given f(x)=3x3+7x211x1 and g(x)=3x1.

Solution: First, determine (f/g)(x).

Therefore,

Substitute −1 for the variable x.

Answer: (f/g)(1)=4

Key Takeaways

  • When dividing by a monomial, divide all terms in the numerator by the monomial and then simplify each term. To simplify each term, divide the coefficients and apply the quotient rule for exponents.
  • When dividing a polynomial by another polynomial, apply the division algorithm.
  • To check the answer after dividing, multiply the divisor by the quotient and add the remainder (if necessary) to obtain the dividend.
  • It is a good practice to include placeholders when performing polynomial long division.

Topic Exercises

Part A: Dividing by a Monomial

Divide.

1. 81y59y2

2. 36y99y3

3. 52x2y4xy

4. 24xy52xy4

5. 25x2y5z35xyz

6. 77x4y9z22x3y3z

7. 125a3b2c10abc

8. 36a2b3c56a2b2c3

9. 9x2+27x33

10. 10x35x2+40x155

11. 20x310x2+30x2x

12. 10x4+8x26x24x

13. 6x59x3+3x3x

14. 36a126a9+12a512a5

15. 12x5+18x36x26x2

16. 49a8+7a521a37a3

17. 9x76x4+12x3x23x2

18. 8x9+16x724x4+8x38x3

19. 16a732a6+20a5a44a4

20. 5a6+2a5+6a312a23a2

21. 4x2y3+16x7y88x2y54x2y3

22. 100a10b30c550a20b5c40+20a5b20c1010a5b5c5

23. Find the quotient of 36x9y7 and 2x8y5.

24. Find the quotient of 144x3y10z2 and 12x3y5z.

25. Find the quotient of 3a418a3+27a2 and 3a2.

26. Find the quotient of 64a2bc316a5bc7 and 4a2bc3.

Part B: Dividing by a Polynomial

Divide.

27. (2x25x3)÷(x3)

28. (3x2+5x2)÷(x+2)

29. (6x2+11x+3)÷(3x+1)

30. (8x214x+3)÷(2x3)

31. x3x22x12x3

32. 2x3+11x2+4x5x+5

33. 2x3x24x+32x+3

34. 15x314x2+23x65x2

35. 14x49x3+22x2+4x17x1

36. 8x5+16x48x35x221x+102x+5

37. x2+8x+17x+5

38. 2x25x+5x2

39. 6x213x+92x+1

40. 12x2+x+13x+2

41. x3+9x2+19x+1x+4

42. 2x313x2+17x11x5

43. 9x312x2+16x153x2

44. 3x48x3+5x25x+9x2

45. (6x513x4+4x33x2+13x2)÷(3x+1)

46. (8x522x4+19x320x2+23x3)÷(2x3)

47. 5x5+12x4+12x37x219x+3x2+2x+3

48. 6x517x4+5x3+16x27x32x23x1

49. x5+7 x4x37 x249 x+9x2+7x1

50. 5x66x44x2+x+25x21

51. x327x3

52. 8x3+1252x+5

53. (15x59x420x3+12x2+15x9)÷(5x3)

54. (2x65x54x4+10x3+6x217x+5)÷(2x5)

55. x52x3+3x1x1

56. x43x2+5x13x+2

57. a24a+2

58. a5+1a5+1

59. a61a1

60. x51x1

61. x5+x4+6x3+12x24x2+x1

62. 50x630x55x4+15 x35x+15x23x+2

63. 5x515x3+25x255x

64. 36x6+12x46x26x2

65. 150x5y2z1510x3y6z5+4x3y2z410x3y2z5

66. 27m6+9m481m2+19m2

67. Divide 3x62x5+27x418x36x2+7x10 by 3x2.

68. Divide 8x6+4x514x45x3+x22x3 by 2x+1.

Part C: Dividing Polynomial Functions

Calculate (f/g)(x), given the functions.

69. f(x)=40x8 and g(x)=10x5

70. f(x)=54x5 and g(x)=9x3

71. f(x)=12x2+24x15 and g(x)=2x+5

72. f(x)=8x2+30x7 and g(x)=2x7

73. f(x)=18x236x+5 and g(x)=3x5

74. f(x)=7x2+29x6 and g(x)=7x1

75. f(x)=10x39x2+27x10 and g(x)=5x2

76. f(x)=15x3+28x211x+56 and g(x)=3x+8

77. f(x)=2x4+5x311x219x+20 and g(x)=x2+x5

78. f(x)=4x412x320x2+26x3 and g(x)=2x2+2x3

Given f(x)=6x3+4x211x+3 and g(x)=3x1, find the following.

79. (f/g)(x)

80. (f/g)(1)

81. (f/g)(0)

82. (f/g)(1)

Given f(x)=5x313x2+7x+3 and g(x)=x2, find the following.

83. (f/g)(x)

84. (f/g)(3)

85. (f/g)(0)

86. (f/g)(7)

Part D: Discussion Board Topics

87. How do you use the distributive property when dividing a polynomial by a monomial?

88. Compare long division of real numbers with polynomial long division. Provide an example of each.

Answers

1: 9y3

3: 13x

5: 5xy4z2

7: 252a2b

9: 3x2+9x1

11: 10x25x+15

13: 2x4+3x21

15: 2x33x+1

17: 3x52x2+4x13

19: 4a38a2+5a14

21: 4x5y5+2y2+1

23: 18xy2

25: a26a+9

27: 2x+1

29: 2x+3

31: x2+2x+4

33: x22x+1

35: 2x3x2+3x+1

37: x+3+2x+5

39: 3x+5+42x+1

41: x2+5x1+5x+4

43: 3x22x+473x2

45: 2x45x3+3x22x+573x+1

47: 5x3+2x27x+1

49: x37+2x2+7x1

51: x2+3x+9

53: 3x44x2+3

55: x4+x3x2x+2+1x1

57: a2

59: a5+a4+a3+a2+a+1

61: x3+7x+5+2x+1x2+x1

63: x43x2+5x1x

65: 15x2z10y4+25z

67: x5+9x32x+183x2

69: (f/g)(x)=4x3

71: (f/g)(x)=6x3

73: (f/g)(x)=6x253x5

75: (f/g)(x)=2x2x+5

77: (f/g)(x)=2x2+3x4

79: (f/g)(x)=2x2+2x3

81: (f/g)(0)=3

83: (f/g)(x)=5x23x+1+5x2

85: (f/g)(0)=32