5.3 Adding and Subtracting Polynomials

Learning Objectives

  1. Add polynomials.
  2. Subtract polynomials.
  3. Add and subtract polynomial functions.

Adding Polynomials

Recall that we combine like terms, or terms with the same variable part, as a means to simplify expressions. To do this, add the coefficients of the terms to obtain a single term with the same variable part. For example,

Notice that the variable part, x2, does not change. This, in addition to the commutative and associative properties of addition, allows us to add polynomialsThe process of combining all like terms of two or more polynomials..

 

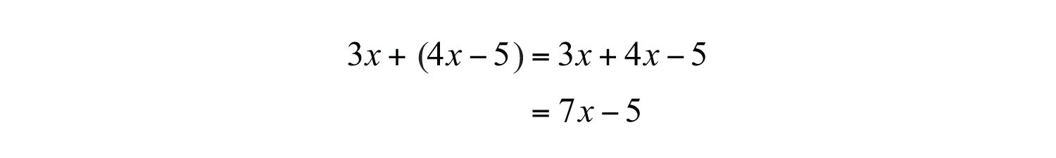
Example 1: Add: 3x+(4x5).

Solution: The property +(a+b)=a+b, which was derived using the distributive property, allows us to remove the parentheses so that we can add like terms.

Answer: 7x5

 

Example 2: Add: (3x2+3x+5)+(2x2x2).

Solution: Remove the parentheses and then combine like terms.

Answer: 5x2+2x+3

 

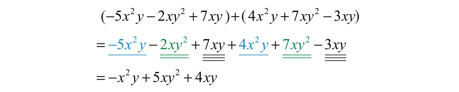
Example 3: Add: (5x2y2xy2+7xy)+(4x2y+7xy23xy).

Solution: Remember that the variable parts have to be exactly the same before we can add the coefficients.

Answer: x2y+5xy2+4xy

 

It is common practice to present the terms of the simplified polynomial expression in descending order based on their degree. In other words, we typically present polynomials in standard form, with terms in order from highest to lowest degree.

 

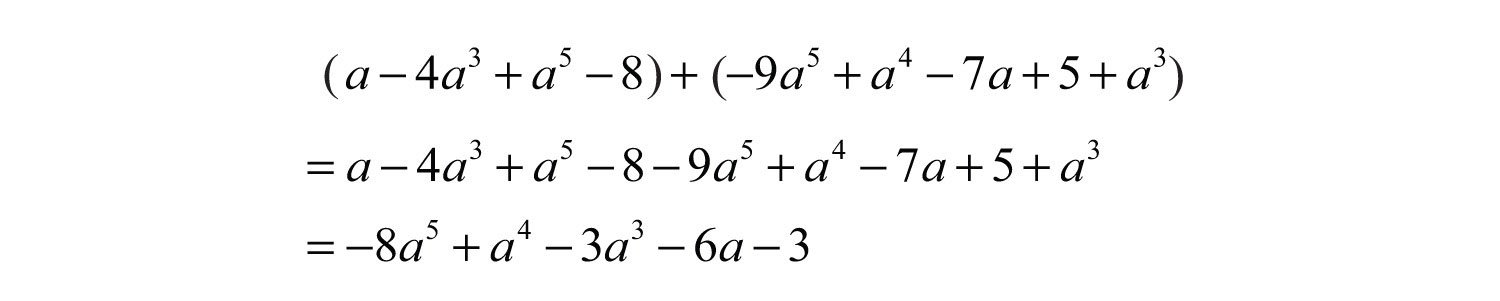
Example 4: Add: (a4a3+a58)+(9a5+a47a+5+a3).

Solution:

Answer: 8a5+a43a36a3

 

Try this! Add: (65x3+x2x)+(x2+x+6x31).

Answer: x3+2x2+5

Video Solution

(click to see video)

Subtracting Polynomials

When subtracting polynomialsThe process of subtracting all the terms of one polynomial from another and combining like terms., we see that the parentheses become very important. Recall that the distributive property allowed us to derive the following:

In other words, when subtracting an algebraic expression, we remove the parentheses by subtracting each term.

 

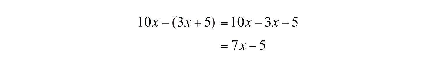
Example 5: Subtract: 10x(3x+5).

Solution: Subtract each term within the parentheses and then combine like terms.

Answer: 7x5

 

Subtracting a quantity is equivalent to multiplying it by −1.

 

Example 6: Subtract: (3x2+3x+5)(2x2x2).

Solution: Distribute the −1, remove the parentheses, and then combine like terms.

Answer: x2+4x+7

 

Multiplying the terms of a polynomial by −1 changes all the signs.

 

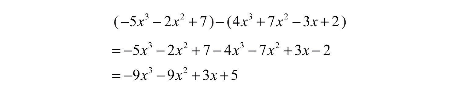
Example 7: Subtract: (5x32x2+7)(4x3+7x23x+2).

Solution: Distribute the −1, remove the parentheses, and then combine like terms.

Answer: 9x39x2+3x+5

 

Example 8: Subtract 6x23x1 from 2x2+5x2.

Solution: Since subtraction is not commutative, we must take care to set up the difference correctly. First, write the quantity (2x2+5x2); from this, subtract the quantity (6x23x1).

Answer: 4x2+8x1

 

Example 9: Simplify: (2x23x+5)(x23x+1)+(5x24x8).

Solution: Apply the distributive property, remove the parentheses, and then combine like terms.

Answer: 6x24x4

 

Try this! Subtract: (8x2y5xy2+6)(x2y+2xy21).

Answer: 7x2y7xy2+7

Video Solution

(click to see video)

Adding and Subtracting Polynomial Functions

We use function notation to indicate addition and subtraction of functions as follows:

Addition of functions: (f+g)(x)=f(x)+g(x)
Subtraction of functions: (fg)(x)=f(x)g(x)

When using function notation, be careful to group the entire function and add or subtract accordingly.

 

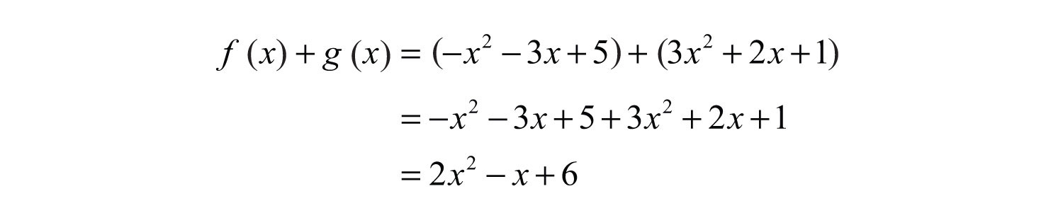
Example 10: Calculate: (f+g)(x), given f(x)=x23x+5 and g(x)=3x2+2x+1.

Solution: The notation (f+g)(x) indicates that you should add the functions f(x)+g(x) and collect like terms.

Answer: (f+g)(x)=2x2x+6

 

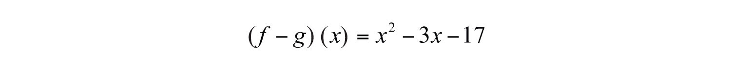
Example 11: Calculate: (fg)(x), given f(x)=2x3 and g(x)=2x2+2x+5.

Solution: The notation (fg)(x) indicates that you should subtract the functions f(x)g(x):

Answer: (fg)(x)=2x28

 

We may be asked to evaluate the sum or difference of two functions. We have the option to first find the sum or difference and use the resulting function to evaluate for the given variable, or to first evaluate each function and then find the sum or difference.

 

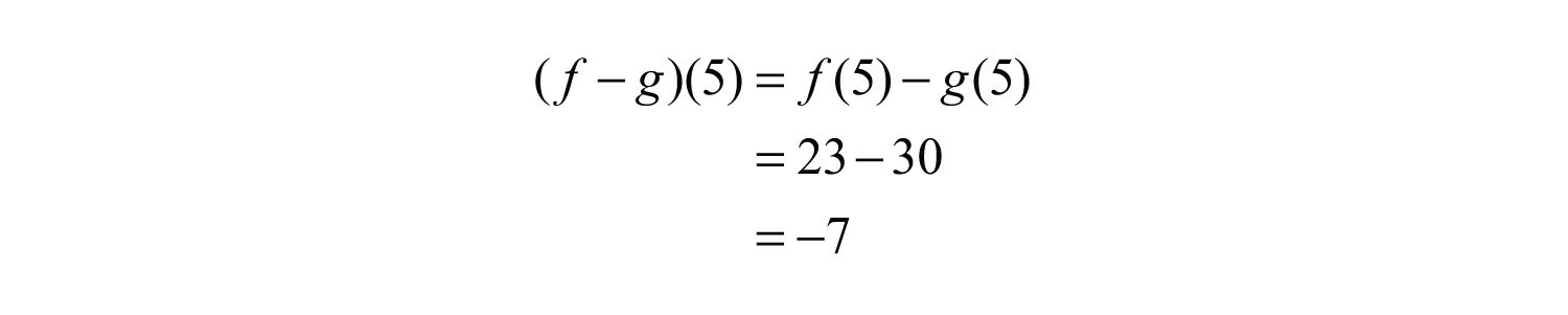
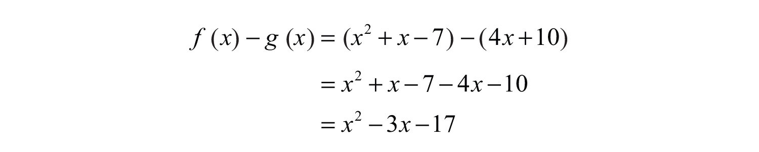
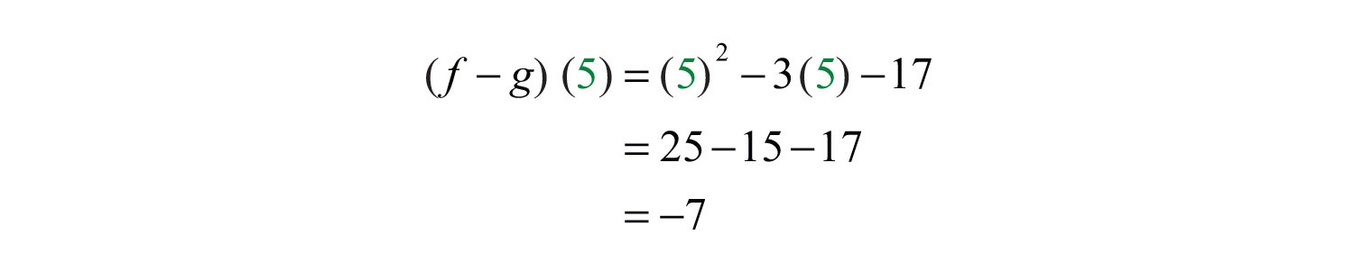
Example 12: Calculate: (fg)(5), given f(x)=x2+x7 and g(x)=4x+10.

Solution: First, find (fg)(x)=f(x)g(x).

Therefore,

Next, substitute 5 for the variable x.

Answer: (fg)(5)=7

Alternate Solution: Since (fg)(5)=f(5)g(5), we can find f(5) and g(5) and then subtract the results.

Therefore, we have

Answer: (fg)(5)=7

Key Takeaways

  • When adding polynomials, remove the associated parentheses and then combine like terms.
  • When subtracting polynomials, distribute the −1 and subtract all the terms before removing the parentheses and combining like terms.
  • The notation (f+g)(x) indicates that you add the functions.
  • The notation (fg)(x) indicates that you subtract the functions.

Topic Exercises

Part A: Addition of Polynomials

Add.

1. (2x+1)+(x+7)

2. (6x+5)+(3x1)

3. (23x+12)+(13x2)

4. (13x34)+(56x+18)

5. (2x+1)+(x3)+(5x2)

6. (2x8)+(3x2+7x5)

7. (x23x+7)+(3x28x5)

8. (5x21+x)+(x+7x29)

9. (12x213x+16)+(32x2+23x1)

10. (35x2+14x6)+(2x238x+52)

11. (x2+5)+(3x22x+1)+(x2+x3)

12. (a3a2+a8)+(a3+a2+6a2)

13. (a38)+(3a3+5a22)

14. (4a5+5a3a)+(3a42a2+7)

15. (2x2+5x12)+(7x5)

16. (3x+5)+(x2x+1)+(x3+2x23x+6)

17. (6x57x3+x215)+(x4+2x36x+12)

18. (1+7x5x3+4x4)+(3x3+5x2+x)

19. (x2y27xy+7)+(4x2y23xy8)

20. (x2+xyy2)+(7x25xy+2y2)

21. (2x2+3xy7y2)+(5x23xy+8y2)

22. (a2b2100)+(2a2b23ab+20)

23. (ab23a2b+ab3)+(2a2b+ab27ab1)

24. (10a2b7ab+8ab2)+(6a2bab+5ab2)

25. Find the sum of 2x+8 and 7x1.

26. Find the sum of 13x15 and 16x+110.

27. Find the sum of x210x+8 and 5x22x6.

28. Find the sum of a25a+10 and 9a2+7a11.

29. Find the sum of x2y2xy+6 and x2y2+xy7.

30. Find the sum of x29xy+7y2 and 3x23xy+7y2.

Part B: Subtraction of Polynomials

Subtract.

31. (5x3)(2x1)

32. (4x+1)(7x+10)

33. (14x34)(34x+18)

34. (35x+37)(25x32)

35. (x2+7x5)(4x25x+1)

36. (6x2+3x12)(6x2+3x12)

37. (3x3+4x8)(x2+4x+10)

38. (12x2+13x34)(32x216x+12)

39. (59x2+15x13)(13x2+310x+59)

40. (a34a2+3a7)(7a32a26a+9)

41. (3a3+5a22)(a3a+8)

42. (5x5+4x3+x26)(4x43x3x+3)

43. (35xx3+5x4)(5x3+2x27x)

44. (x56x3+9x)(4x4+2x25)

45. (2x2y24xy+9)(3x2y23xy5)

46. (x2+xyy2)(x2+xyy2)

47. (2x2+3xy7y2)(5x23xy+8y2)

48. (ab23a2b+ab3)(2a2b+ab27ab1)

49. (10a2b7ab+8ab2)(6a2bab+5ab2)

50. (10a2b2+5ab6)(5a2b2+5ab6)

51. Subtract 3x+1 from 5x9.

52. Subtract x25x+10 from x2+5x5.

53. Find the difference of 3x7 and 8x+6.

54. Find the difference of 2x2+3x5 and x29.

55. The cost in dollars of producing customized coffee mugs with a company logo is given by the formula C=150+0.10x, where x is the number of cups produced. The revenue from selling the cups in the company store is given by R=10x0.05x2, where x is the number of units sold.

a. Find a formula for the profit. (profit = revenue − cost)

b. Find the profit from producing and selling 100 mugs in the company store.

56. The cost in dollars of producing sweat shirts is given by the formula C=10q+1200, where C is the cost and q represents the quantity produced. The revenue generated by selling the sweat shirts for $37 each is given by R=37q, where q represents the quantity sold. Determine the profit generated if 125 sweat shirts are produced and sold.

57. The outer radius of a washer is 3 times the radius of the hole.

a. Derive a formula for the area of the face of the washer.

b. What is the area of the washer if the hole has a diameter of 10 millimeters?

58. Derive a formula for the surface area of the following rectangular solid.

Part C: Addition and Subtraction of Polynomial

Simplify.

59. (2x+3)(5x8)+(x7)

60. (3x5)(7x11)(5x+2)

61. (3x2)(4x1)+(x+7)

62. (5x3)(2x+1)(x1)

63. (5x23x+2)(x2+x4)+(7x22x6)

64. (2x3+x28)(3x2+x6)(2x1)

65. (2x7)(x2+3x7)+(6x1)

66. (6x210x+13)+(4x29)(9x2)

67. (a2b2)(2a2+3ab4b2)+(5ab1)

68. (a23ab+b2)(a2+b2)(3ab5)

69. (12x234x+14)(32x34)+(54x12)

70. (95x213x+2)(310x245)(x+52)

Part D: Addition and Subtraction of Polynomial Functions

Find (f+g)(x) and (fg)(x), given the following functions.

71. f(x)=4x1 and g(x)=3x+1

72. f(x)=x+5 and g(x)=2x3

73. f(x)=3x25x+7 and g(x)=2x2+5x1

74. f(x)=x3+2x26x+2 and g(x)=2x3+2x25x1

75. f(x)=12x+13 and g(x)=15x232x+16

76. f(x)=x25x+13 and g(x)=23x2x12

Given f(x)=2x3 and g(x)=x2+3x1, find the following.

77. (f+g)(x)

78. (g+f)(x)

79. (fg)(x)

80. (gf)(x)

81. (g+g)(x)

82. (f+g)(3)

83. (f+g)(2)

84. (f+g)(0)

85. (fg)(0)

86. (fg)(2)

87. (gf)(2)

88. (gf)(12)

Given f(x)=5x23x+2 and g(x)=2x2+6x4, find the following.

89. (f+g)(x)

90. (g+f)(x)

91. (fg)(x)

92. (gf)(x)

93. (f+g)(2)

94. (fg)(2)

95. (f+g)(0)

96. (fg)(0)

Answers

1: x+8

3: x32

5: 8x4

7: 4x211x+2

9: x2+13x56

11: 5x2x+3

13: 2a3+5a210

15: 2x2+12x17

17: 6x5+x45x3+x26x3

19: 5x2y210xy1

21: 3x2+y2

23: 5a2b+2ab26ab4

25: 9x+7

27: 6x212x+2

29: 2x2y21

31: 3x2

33: 12x78

35: 3x2+12x6

37: 3x3+x218

39: 29x2110x89

41: 2a3+5a2+a10

43: 5x4+4x3+x2+2x+1

45: x2y2xy+14

47: 7x2+6xy15y2

49: 4a2b+3ab26ab

51: 2x10

53: 5x13

55: a. P=0.05x2+9.9x150; b. $340

57: a. A=8πr2; b. 628.32 square millimeters

59: 2x+4

61: 6

63: 11x26x

65: x2+5x1

67: a2+2ab+3b21

69: 12x2x+12

71: (f+g)(x)=x and (fg)(x)=7x2

73: (f+g)(x)=x2+6 and (fg)(x)=5x210x+8

75: (f+g)(x)=15x2x+12 and (fg)(x)=15x2+2x+16

77: (f+g)(x)=x2+5x4

79: (fg)(x)=x2x2

81: (g+g)(x)=2x2+6x2

83: (f+g)(2)=10

85: (fg)(0)=2

87: (gf)(2)=4

89: (f+g)(x)=7x2+3x2

91: (fg)(x)=3x29x+6

93: (f+g)(2)=20

95: (f+g)(0)=2