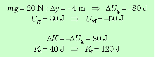
3.3.7 : La relativité de l'énergie potentielle gravitationnelle
partie (b)



Retour au menu principal