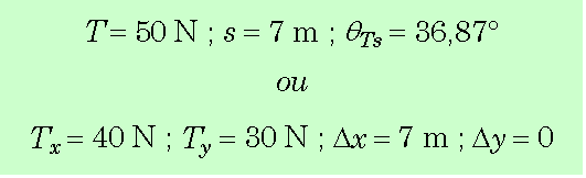
3.1.7 : Les travaux exercés sur un bloc
partie (b)



Retour au menu principal