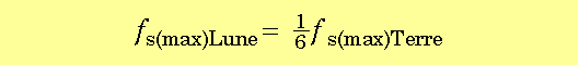
2.5.17 : Sur la Lune et sur la Terre
partie (a)
Prochain écran : indice