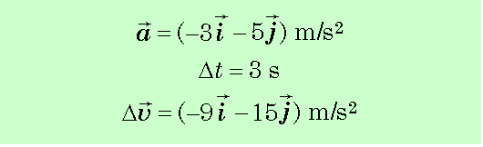
2.1.3 : La vitesse d'une particule



Retour au menu principal