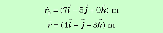
1.9.17 : Le déplacement en trois dimensions
partie (a)



Retour au menu principal