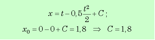
1.14.6 : Une planche à roulettes sur un plan incliné, prise 2
partie (b)



Retour au menu principal