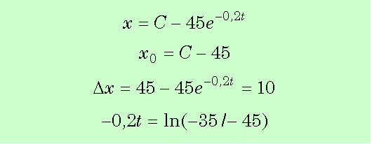
1.14.4 : Un marathon exponentiel
partie (a)



Retour au menu principal