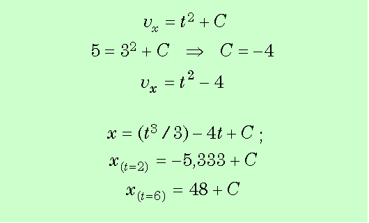
1.14.3 : De l'accélération au déplacement



Retour au menu principal