1.13.2 : Quels sont les MUA ?
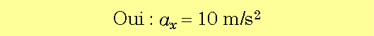
partie (b)



Prochain écran : indice